发烧论坛

注册

 

发新话题 回复该主题

房贷还款的奥秘 [复制链接]

查看: 4694|回复: 10
1#


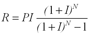
这个是房贷每月还款数额的公式,其中P为贷款总额,I为月利率,N为按月计算的贷款期限。

从数学上来讲,这是个比较复杂的公式,不是那种一眼就能看出门道的公式。请问高手分析一下这个公式的具体含义。

其实如果银行按这个公式收取利息,时间一长的话就会产生很多很多利息。这个公式很明显可以看出以下两点:

1、每月还款额度是一样的,而且都是用贷款总额(即P)乘上利率再乘上一些参数,这样的意思就是本金永远不会减少,本来是每还一次,本金就要减少一次,利息也要相应减少,但这个公式没体现出这点。而且每月一样。

2、公式的分子里面,(1+I)的N次方,表示利滚利,一直滚到了最后期限,而且每个月都如此计算,这显然也是很不利的。

我把这个公式给我们这里的财务专职看了下,他也看不出个门道,所以请教论坛高手,这个公式具体是怎么算的。能不能把这个公式转换成一个比较简单,容易看的懂的形式。利息高就直说嘛,搞的这么复杂。简直就是愚弄百姓。
分享 转发
TOP
2#

回复:房贷还款的奥秘

无奥秘可言,不想出利息,自己一次性全额付清就行了;P
音乐、唱片书邮购  http://shop34105616.taobao.com/
TOP
3#

回复:房贷还款的奥秘

记x^n为x的n次方。每月还款R,全部存于银行,还满再结算,则N个月后,第一笔还贷连本带利为R(1+I)^N,第二个月还得为R(1+I)^(N-1),以此类推,所有这些加起来
R(1+I)^N+R(1+I)^(N-1)+...+R=R[(1+I)^N-1]/I (根据等比数列求和公式)
而贷款总额P在N个月后连本带利为P(1+I)^N。

让上述两个数相等,从而求得R即为图片中的结果。
TOP
4#

回复:房贷还款的奥秘

专业术语,楼上不会是和我是同行吗? 哈哈 ,我一直用3种办法来解释这个公式的。

其实没有必要弄懂公式,银行不会少算也不会多算的,都是自动套公式的。

有必要提醒的是还款方式一般有两种选择:

1。 等额本息还款法( 楼主的用的公式就是此类),即每个月还款的金额相等;
2。等额本金还款法 ,每个月还款的本金相等,利息逐步减少(每个月还款的金额也逐步递减)

我推荐别人选择第2种方式,相比第1种实际还款的总额较少。(因为付的总利息较少),缺点是一开始每个月还款总额较多。

注意银行一般默认选择都是第1种方式。

特别提醒的是,如果贷款时你有提前还款的预期,肯定应该选择第2种方式,否则按照第1种方式的话你会浪费很多冤枉的利息。


可以在网上搜寻具体的资料。
最后编辑abmabm 最后编辑于 2007-07-24 22:29:34
TOP
5#

回复:房贷还款的奥秘

还是糊涂点好,知道多了更累

有能力就提前还款。

我就损失了很多利息,最后也懒得算我一共付出多少。
TOP
6#

回复:房贷还款的奥秘

如果亲戚肯借钱给你买房是最理想的。一般能省10W以上。
音乐是使人生活得更有意义的方式之一。

TOP
7#

回复: 房贷还款的奥秘

原帖由 abmabm 于 2007-7-24 22:12:00 发表
专业术语,楼上不会是和我是同行吗? 哈哈 ,我一直用3种办法来解释这个公式的。

其实没有必要弄懂公式,银行不会少算也不会多算的,都是自动套公式的。

有必要提醒的是还款方式一般有两种选择:

1。 等额本息还款法( 楼主的用的公式就是此类),即每个月还款的金额相等;
2。等额本金还款法 ,每个月还款的本金相等,利息逐步减少(每个月还款的金额也逐步递减)
......


银行不会问你用那种还贷方式,直接就套用第一种方式。
TOP
8#

回复:房贷还款的奥秘

社会主义好啊!!!
TOP
9#

回复:房贷还款的奥秘

社会主义国家人民地位高!

......不好意思,扯远了
反正现在很多人都是可怜的房奴,一辈子挣钱,就为了买房子,培养孩子,
等老了,好不容易攒了点钱,还不够看病。
最后编辑richard_wagner 最后编辑于 2007-07-25 17:19:22
TOP
10#

回复: 房贷还款的奥秘

原帖由 胡思 于 2007-7-25 12:29:00 发表
[quote] 原帖由 abmabm 于 2007-7-24 22:12:00 发表
专业术语,楼上不会是和我是同行吗? 哈哈 ,我一直用3种办法来解释这个公式的。

其实没有必要弄懂公式,银行不会少算也不会多算的,都是自动套公式的......


银行不会问你用那种还贷方式,直接就套用第一种方式。



不是不可以选择的,而是银行默认第1种方式(因为对银行自身有利),你自己可以提出按第2种方式贷款的。一般人不懂内在的道理,觉得容易操作,其实第2种方式更合理的、对贷款人更有利的。
最后编辑abmabm 最后编辑于 2007-07-25 18:37:36
TOP
发新话题 回复该主题